Обрати сторінку
Устройство и работа макаронных прессов.

Устройство и работа макаронных прессов.

Прессы различаются конструкцией дозаторов, числом камер в тестомесильной машине и их расположением, числом прессую­щих шнеков, конструкцией прессующих головок, формой матриц и местом вакуумирования. Основные типы дозаторов: муки — шнековые, ленточные и роторные; воды...
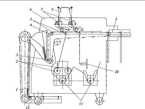
Шнековые макаронные пресса ЛПШ-500 и ЛПШ-1000

Шнековые макаронные пресса ЛПШ-500 и ЛПШ-1000

Пресс ЛПШ-500. Основными узлами шнекового мака­ронного пресса ЛПШ-500 являются дозировочное устройство, трехкамерная тестомесильная машина с приводом, прессующий корпус с приводом, прессующая головка для круглой матрицы с механизмом смены матриц и обдувочным...
Шнековые макаронные пресса ЛПШ-500 и ЛПШ-1000

Шнековые макаронные пресса ЛПШ-500 и ЛПШ-1000

Пресс ЛПШ-500. Основными узлами шнекового мака­ронного пресса ЛПШ-500 являются дозировочное устройство, трехкамерная тестомесильная машина с приводом, прессующий корпус с приводом, прессующая головка для круглой матрицы с механизмом смены матриц и обдувочным...
Устройство и работа матриц для макарон.

Устройство и работа матриц для макарон.

Матрицы изготовляют из антикоррозийных прочных материалов, таких, как латунь ЛС59-1 (ГОСТ 15527 — 70), твердая фосфористая бронза БрАЖ9-4л и нержавеющая сталь 1Х18Н9Т (ГОСТ 5949 — 75). При отсутствии нержавеющей стали ее заменяют менее дефицитной хромистой сталью...
Устройство и работа матриц для макарон.

Устройство и работа матриц для макарон.

Матрицы изготовляют из антикоррозийных прочных материалов, таких, как латунь ЛС59-1 (ГОСТ 15527 — 70), твердая фосфористая бронза БрАЖ9-4л и нержавеющая сталь 1Х18Н9Т (ГОСТ 5949 — 75). При отсутствии нержавеющей стали ее заменяют менее дефицитной хромистой сталью...
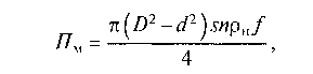
Техническое обслуживание макаронных прессов. Основы технологического расчета макаронного пресса.

Техническое обслуживание макаронных прессов. Основы технологического расчета макаронного пресса.

Техническое обслуживание шнековых макаронных прессов включает в себя следующий перечень эксплуатационных меро­приятий: подготовка пресса к работе, пуск и выход на рабочий режим, правила эксплуатации и безопасный режим работы. Для подготовки пресса к работе необходимо:...
Техническое обслуживание макаронных прессов. Основы технологического расчета макаронного пресса.

Техническое обслуживание макаронных прессов. Основы технологического расчета макаронного пресса.

Техническое обслуживание шнековых макаронных прессов включает в себя следующий перечень эксплуатационных меро­приятий: подготовка пресса к работе, пуск и выход на рабочий режим, правила эксплуатации и безопасный режим работы. Для подготовки пресса к работе необходимо:...
Оборудование для резки и раскладки макаронных изделий

Оборудование для резки и раскладки макаронных изделий

После формования макаронные изделия поступают на раздел­ку. Этот участок технологического процесса включает в себя опера­ции резки и раскладки. От того, как проведены резка и раскладка сырых изделий, зависят их форма, качество и продолжительность процесса сушки....
Оборудование для резки, раскладки и съема длинных макарон­ных изделий.

Оборудование для резки, раскладки и съема длинных макарон­ных изделий.

К установкам этого типа относятся двойной саморазвес для резки сырых изделий и машина для съема и резки сухих изделий. Двойной саморазвес позволяет осуществлять одновременно не­сколько функций: развешивать макаронные пряди, выпрессованные из тубусных матриц пресса,...
Оборудование для приготовления карамельной массы

Оборудование для приготовления карамельной массы

Процесс приготовления карамельной массы складывается из процессов приготовления сахаропаточного сиропа, его уварива­ния до получения карамельной массы, охлаждения и насыщения воздухом карамельной массы. Эти процессы осуществляются ма­шинами и аппаратами периодического...